Three tangent circles calculator


Area between three tangent circles summary


The area of triangle ABC by Heron's formula is:
After substituting the values of a, b and c we get:
The sectors areas are:
The angles of the triangle ABC can be found by cosine law:
The green area circumference is the sum of the arcs lengths formed by the angles α r1, β r2 and γ r3:
Notice that when k = 0 then the radius is infinity, that means that the radius is a straight line.
The plus sign means externally tangent circle like circles r1 , r2 , r3 and r4 and the minus sign is for internally tangent circle like circle r5 in the drawing in the top.
And the curvature of the circles k4 and k5 which are called the Soddy circles are:

If circle r1 is a straight line then r1 = ∞
and the curvature is k1 = 1 / r1 = 0
The curvature of the two red Soddy circles is simply:
Example 1 − Area between three tangent circles





Note: In the calculations we assume that R2 is bigger then R3, therefore, to find the angle of sector r3 we must add to angle β, 90 degrees (pi/2).







Example 2 − Area between three tangent circles


The ribs of the triangle ABC will be:
a = r2 + r3 = 3 + 4 = 7
b = r1 + r3 = 2 + 4 = 6
c = r1 + r2 = 2 + 3 = 5
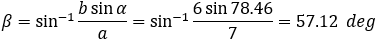
Now we can find any angle of the triangle by cosine law:




γ = 180 − α − β = 180 − 78.46 − 57.12 = 44.42 deg
Now the green area Ag can be calculated:



Ag = AABC − A1 − A2 − A3 = 14.7 − 2.74 − 4.49 − 6.2 = 1.27
The green area circumference Lg is the sum of the three arcs formed by the angles α, β and γ.
L1 = r1 α = 2 ‧ 78.46 ‧ pi / 180 = 2.74
L2 = r2 α = 3 ‧ 57.12 ‧ pi / 180 = 3
L3 = r3 α = 4 ‧ 44.42 ‧ pi / 180 = 3.1
Lg = L1 + L2 + L3 = 2.74 + 3 + 3.1 = 8.84


